安庆奇创药业有限公司
安庆奇创药业有限公司
列净系列
列汀系列
沙班系列 及抗凝血
替尼系列 及其他抗肿瘤
其他医药 中间体
精细化学
在研产品

安庆奇创药业有限公司
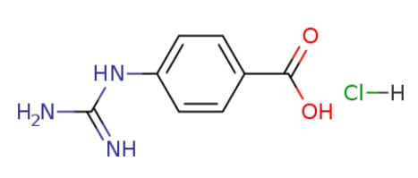
产品名称: 4-胍基苯甲酸盐酸盐 
英文名称: 4-Guanidinobenzoic acid hydrochloride
CAS NO.: 42823-46-1
质量标准: 企业标准
纯 度: 99.0%
结构式: 4-胍基苯甲酸盐酸盐
用 途: Nafamostat 萘莫司他中间体
声 明:

免责声明:受有效专利保护的产品不得用于商业用途。如有相关法规允许,此类产品可用于研究与注册申报。管制产品将严格遵守中国法律和购买客户国法律的规定销售,所有产品都不适用于人用,买方应对各自市场的专利情况进行独立评估,并承担所有与专利相关的责任。


安庆奇创药业有限公司
安庆奇创药业有限公司
安庆奇创药业有限公司
安庆奇创药业有限公司

联系我们

国内:吴学平 13585175604(微信同号)

国际:江婷婷 13057662806(微信同号)

邮箱:sales@chicopharm.com

 

安庆奇创药业有限公司
安庆奇创药业有限公司